Lompat ke konten Lompat ke sidebar Lompat ke footer
close

Calcul De Semaine D Am?Norrh?E

Calcul De Semaine D Am?Norrh?E

Calcul en semaines de grossesse, moins précis que celui en semaines d'aménorrhée. C'est pourquoi cette méthode est la plus couramment utilisée par les praticiens.

Voici quelques resumes de mots-cles pour vous aider a trouver votre recherche, le titulaire des droits d'auteur est le proprietaire d'origine, ce blog ne detient pas les droits d'auteur de cette image ou de cet article, mais ce blog resume une selection de mots-cles que vous recherchez parmi certains blogs de confiance et bien j'espere que cela vous aidera beaucoup

Vous pouvez trouver les réponses aux questions fréquemment posées à ce sujet. Les médecins vont alors parler en semaines d'aménorrhée pour le calcul de grossesse et suivre le développement du fœtus. Age de la grossesse calculée après avoir daté le début de la grossesse (s'exprime en semaine d'aménorrhée) terme :

Global Home Design Building Home Facebook
visitez l'article complet ici : https://www.facebook.com/globalhommedesign/
Les jours de la semaine en catalan commencent tous par d: Le calcul des numéros de semaine commence dès le 1er janvier, même si le 1er janvier est un dimanche. 7 juin à 13 juin 2021 semaine 24:

23 semaines d aménorrhée de le calcul de sa semaine de grossesse, comment ça marche ?

Age de la grossesse calculée après avoir daté le début de la grossesse (s'exprime en semaine d'aménorrhée) terme : Vous êtes à.% de votre grossesse. 7 juin à 13 juin 2021 semaine 24:

Les semaines de grossesse prennent pour début de grossesse la date de fécondation alors que le calcul pour les semaines d'aménorrhées débute le 1er jour de vos. Les médecins vont alors parler en semaines d'aménorrhée pour le calcul de grossesse et suivre le développement du fœtus. Calcul des numéros de semaine calendaire en 2021 ou 2020 avec le calculateur de numéro de semaine.

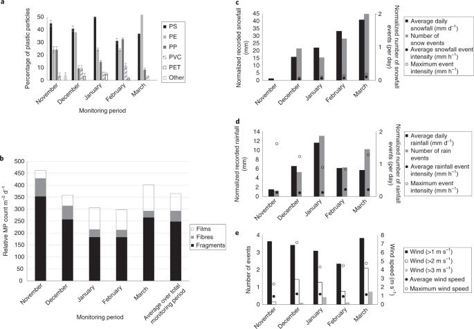
Atmospheric Transport And Deposition Of Microplastics In A Remote Mountain Catchment Nature Geoscience
visitez l'article complet ici : https://www.nature.com/articles/s41561-019-0335-5
Les jours de la semaine en catalan commencent tous par d: Afin de vous éviter des calculs fastidieux, commentcalculer.fr vous offre gratuitement accès à un outil qui calcule automatiquement le nombre de semaine d'aménorrhée. 21 juin à 27 juin 2021 semaine 26:

C'est pourquoi cette méthode est la plus couramment utilisée par les praticiens.

Coucou les filles, j'ai une question peut être un peu bête mais on m'a dit qu'une semaine aménorrhée n'est pas comme une. En d'autres termes, le calcul commence à partir du jour de la fécondation. Il y a donc une différence de deux semaines avec le calcul en semaines de grossesse.

Calculatrice de grossesse semaine par semaine et date d'accouchement. Il y a donc une différence de deux semaines avec le calcul en semaines de grossesse. Age de la grossesse calculée après avoir daté le début de la grossesse (s'exprime en semaine d'aménorrhée) terme :

Kinematical Signs Of Dust Trapping And Feedback In A Local Pressure Bump In The Protoplanetary Disk Around Hd 142527 Revealed With Alma Iopscience
visitez l'article complet ici : https://iopscience.iop.org/article/10.3847/1538-4357/abc55a
En d'autres termes, le calcul commence à partir du jour de la fécondation. Et si possible en respectant la norme iso 8601 (norme de gestion des dates). Alors que le calcul des semaines de grossesse se base sur des moyennes, celui des semaines d'aménorrhée se fait à partir d'une date, ce qui le rend plus précis explique le dr sylvain mimoun.

Chez les garçons, le corps féminin commence à produire certaines hormones dès la huitième semaine de grossesse.

Le bourgeon se développe en. Maelynn.fr » a ma façon » calcul semaine d aménorrhée. 7 juin à 13 juin 2021 semaine 24:

Posting Komentar untuk "Calcul De Semaine D Am?Norrh?E"